Упражнение 301 ГДЗ Колягин Ткачёва 7 класс (Алгебра)
Вычислить объем куба, длина ребра которого равна: 1) 2 м; 2) 3 дм; 3) 1/5 км; 4) 0,4 м.Выполнить умножение многочлена на одночлен:


Ниже вариант решения задания из учебника Колягин, Ткачёва, Фёдорова 7 класс, Просвещение:
Вычислить объем куба, длина ребра которого равна:
1) 2 м; 2) 3 дм; 3) 1/5 км; 4) 0,4 м.
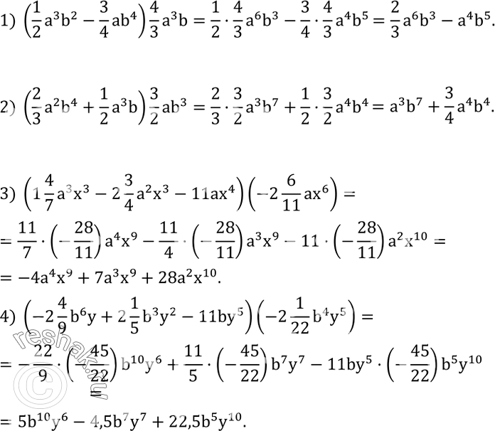
Выполнить умножение многочлена на одночлен:
1) (1/2 a^3 b^2-3/4 ab^4 ) 4/3 a^3 b;
2) (2/3 a^2 b^4+1/2 a^3 b) 3/2 ab^3;
3) (1 4/7 a^3 x^3-2 3/4 a^2 x^3-11ax^4 )(-2 6/11 ax^6 );
4) (-2 4/9 b^6 y+2 1/5 b^3 y^2-11by^5 )(-2 1/22 b^4 y^5 ).
