Упражнение 329 ГДЗ Колягин Ткачёва 7 класс (Алгебра)
Записать произведение в виде степени: 1) (-2,5a)^3 (-2,5a)^8; 2) (-5x/6)^5 (-5x/6)^7; 3) (x-a)^7 (x-a)^10; 4) (n+m)^15 (n+m)^5. Разложить на множители: 1) 2a(a-b)+3b(a-b);


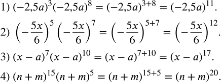
Ниже вариант решения задания из учебника Колягин, Ткачёва, Фёдорова 7 класс, Просвещение:
Записать произведение в виде степени:
1) (-2,5a)^3 (-2,5a)^8;
2) (-5x/6)^5 (-5x/6)^7;
3) (x-a)^7 (x-a)^10;
4) (n+m)^15 (n+m)^5.
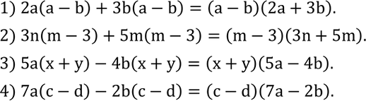
Разложить на множители:
1) 2a(a-b)+3b(a-b);
2) 3n(m-3)+5m(m-3);
3) 5a(x+y)-4b(x+y);
4) 7a(c-d)-2b(c-d).
