Упражнение 361 ГДЗ Колягин Ткачёва 7 класс (Алгебра)
Записать в виде степени: 1) (2a)^2/(3b)^2 ; 2) (4x)^4/(3y)^4 ; 3) 1/(-8); 4) (-1)/27. Разложить на множители: 1) (a+b)^2-c^2; 2) (m-n)^2-k^2;


Ниже вариант решения задания из учебника Колягин, Ткачёва, Фёдорова 7 класс, Просвещение:
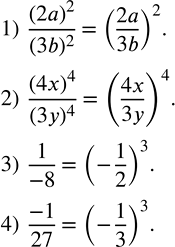
Записать в виде степени:
1) (2a)^2/(3b)^2 ;
2) (4x)^4/(3y)^4 ;
3) 1/(-8);
4) (-1)/27.
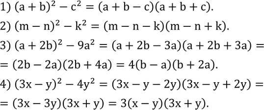
Разложить на множители:
1) (a+b)^2-c^2;
2) (m-n)^2-k^2;
3) (a+2b)^2-9a^2;
4) (3x-y)^2-4y^2.
