Упражнение 365 ГДЗ Колягин Ткачёва 7 класс (Алгебра)
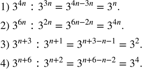
Пусть n, m, k - натуральные числа. Представить выражение в виде степени: 1) 3^4n :3^3n; 2) 3^6n :3^2n; 3) 3^(n+3) :3^(n+1);


Ниже вариант решения задания из учебника Колягин, Ткачёва, Фёдорова 7 класс, Просвещение:
Пусть n, m, k - натуральные числа. Представить выражение в виде степени:
1) 3^4n :3^3n;
2) 3^6n :3^2n;
3) 3^(n+3) :3^(n+1);
4) 3^(n+6) :3^(n+2).
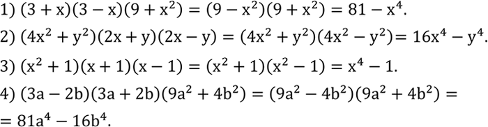
Выполнить умножение:
1) (3+x)(3-x)(9+x^2 );
2) (4x^2+y^2 )(2x+y)(2x-y);
3) (x^2+1)(x+1)(x-1);
4) (3a-2b)(3a+2b)(9a^2+4b^2 ).
