Упражнение 357 ГДЗ Колягин Ткачёва 7 класс (Алгебра)
Возвести в степень дробь: 1) (2/3)^2; 2) (-5/7)^2; 3) (-3/a)^2; 4) (b/8)^3. Выполнить умножение: 1) (c^2+d^2 )(c^2-d^2 ); 2) (a^2+b^3 )(a^2-b^3 );


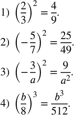
Ниже вариант решения задания из учебника Колягин, Ткачёва, Фёдорова 7 класс, Просвещение:
Возвести в степень дробь:
1) (2/3)^2;
2) (-5/7)^2;
3) (-3/a)^2;
4) (b/8)^3.
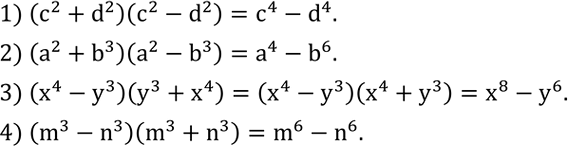
Выполнить умножение:
1) (c^2+d^2 )(c^2-d^2 );
2) (a^2+b^3 )(a^2-b^3 );
3) (x^4-y^3 )(y^3+x^4 );
4) (m^3-n^3 )(m^3+n^3 ).
