Упражнение 358 ГДЗ Колягин Ткачёва 7 класс (Алгебра)
Возвести в степень дробь: 1) (a/2b)^4; 2) (3b/5c)^4; 3) (2^3/3^2 )^7; 4) (5^2/7^4 )^3. Выполнить умножение: 1) (3a^2+4b^3 )(3a^2-4b^3 ); 2) (2m^4-5n^2 )(5n^2+2m^4 );


Ниже вариант решения задания из учебника Колягин, Ткачёва, Фёдорова 7 класс, Просвещение:
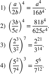
Возвести в степень дробь:
1) (a/2b)^4;
2) (3b/5c)^4;
3) (2^3/3^2 )^7;
4) (5^2/7^4 )^3.
Выполнить умножение:
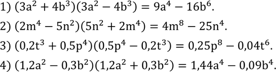
1) (3a^2+4b^3 )(3a^2-4b^3 );
2) (2m^4-5n^2 )(5n^2+2m^4 );
3) (0,2t^3+0,5p^4 )(0,5p^4-0,2t^3 );
4) (1,2a^2-0,3b^2 )(1,2a^2+0,3b^2 ).
