Упражнение 363 ГДЗ Колягин Ткачёва 7 класс (Алгебра)
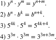
Пусть n, m, k - натуральные числа. Представить выражение в виде степени: 1) y^n•y^m; 2) b^n•b^k; 3) 5^4k•5^4; 4) 3^3n•3^3m. Вычислить:


Ниже вариант решения задания из учебника Колягин, Ткачёва, Фёдорова 7 класс, Просвещение:
Пусть n, m, k - натуральные числа. Представить выражение в виде степени:
1) y^n•y^m;
2) b^n•b^k;
3) 5^4k•5^4;
4) 3^3n•3^3m.
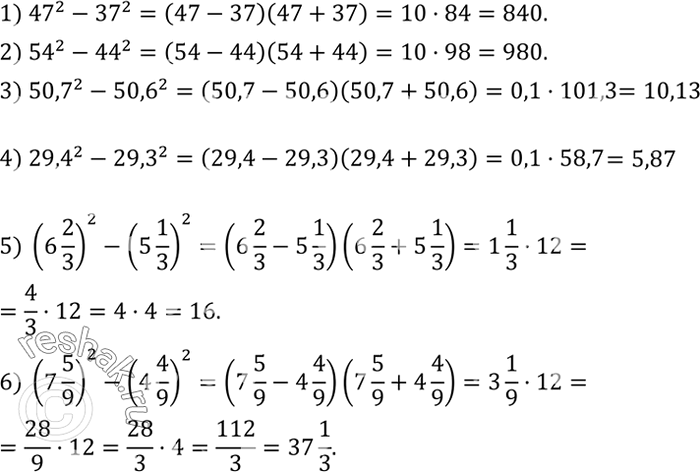
Вычислить:
1) ?47?^2-?37?^2;
2) ?54?^2-?44?^2;
3) ?50,7?^2-?50,6?^2;
4) ?29,4?^2-?29,3?^2;
5) (6 2/3)^2-(5 1/3)^2;
6) (7 5/9)^2-(4 4/9)^2.
