Упражнение 359 ГДЗ Колягин Ткачёва 7 класс (Алгебра)
Возвести в степень дробь: 1) ((a+b)/3)^3; 2) (7/(2+c))^2; 3) ((m+n)/(m-n))^5; 4) ((a+b)/(a-b))^7. Вычислить: 1) 48•52; 2) 68•72; 3) 43•37; 4) 47•53.


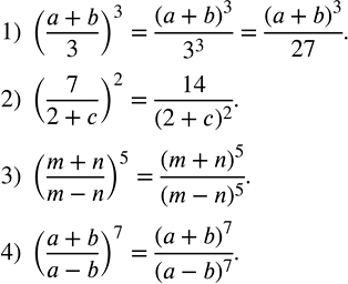
Ниже вариант решения задания из учебника Колягин, Ткачёва, Фёдорова 7 класс, Просвещение:
Возвести в степень дробь:
1) ((a+b)/3)^3;
2) (7/(2+c))^2;
3) ((m+n)/(m-n))^5;
4) ((a+b)/(a-b))^7.
Вычислить:
1) 48•52;
2) 68•72;
3) 43•37;
4) 47•53.
