Упражнение 381 ГДЗ Колягин Ткачёва 7 класс (Алгебра)
Выполните умножение одночленов: 1) (3a^2 b^5 c)(6a^3 bc^2 ); 2) (7a^5 b^2 c)(-3ab^4 c); 3) (2/3 a^2 b^3 x)(3/4 a^3 bx^2 );


Ниже вариант решения задания из учебника Колягин, Ткачёва, Фёдорова 7 класс, Просвещение:
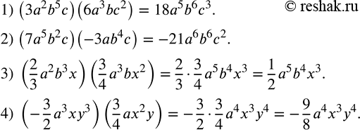
Выполните умножение одночленов:
1) (3a^2 b^5 c)(6a^3 bc^2 );
2) (7a^5 b^2 c)(-3ab^4 c);
3) (2/3 a^2 b^3 x)(3/4 a^3 bx^2 );
4) (-3/2 a^3 xy^3 )(3/4 ax^2 y).
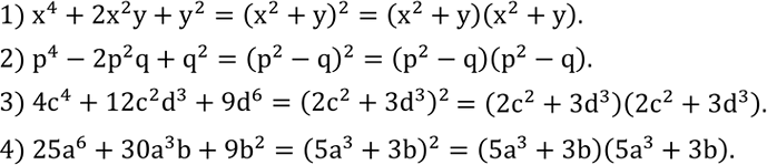
Разложить на множители многочлен:
1) x^4+2x^2 y+y^2;
2) p^4-2p^2 q+q^2;
3) 4c^4+12c^2 d^3+9d^6;
4) 25a^6+30a^3 b+9b^2.
