Упражнение 382 ГДЗ Колягин Ткачёва 7 класс (Алгебра)
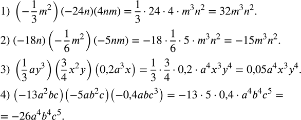
Выполните умножение одночленов: 1) (-1/3 m^2 )(-24n)(4nm); 2) (-18n)(-1/6 m^2 )(-5nm); 3) (1/3 ay^3 )(3/4 x^2 y)(0,2a^3 x); 4) (-13a^2 bc)(-5ab^2 c)(-0,4abc^3 ).


Ниже вариант решения задания из учебника Колягин, Ткачёва, Фёдорова 7 класс, Просвещение:
Выполните умножение одночленов:
1) (-1/3 m^2 )(-24n)(4nm);
2) (-18n)(-1/6 m^2 )(-5nm);
3) (1/3 ay^3 )(3/4 x^2 y)(0,2a^3 x);
4) (-13a^2 bc)(-5ab^2 c)(-0,4abc^3 ).
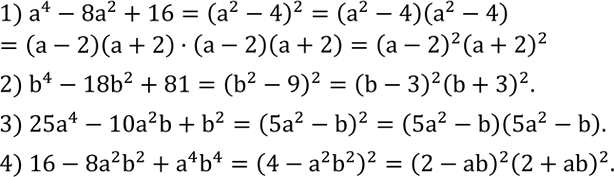
Разложить на множители многочлен:
1) a^4-8a^2+16;
2) b^4-18b^2+81;
3) 25a^4-10a^2 b+b^2;
4) 16-8a^2 b^2+a^4 b^4.
