Упражнение 393 ГДЗ Колягин Ткачёва 7 класс (Алгебра)
При каком значении n верно равенство: 1) (2a)^n=32a^5; 2) (-1/3 x^2 y)^n=-1/27 x^6 y^3; 3) (0,2y^2 )^n•100=4y^4; 4) (3 1/3 m^4 )^n•0,001=1/27 m^12;


Ниже вариант решения задания из учебника Колягин, Ткачёва, Фёдорова 7 класс, Просвещение:
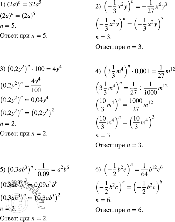
При каком значении n верно равенство:
1) (2a)^n=32a^5;
2) (-1/3 x^2 y)^n=-1/27 x^6 y^3;
3) (0,2y^2 )^n•100=4y^4;
4) (3 1/3 m^4 )^n•0,001=1/27 m^12;
5) (0,3ab^3 )^n•1/0,09=a^2 b^6;
6) (-1/2 b^2 c)^n=1/64 b^12 c^6
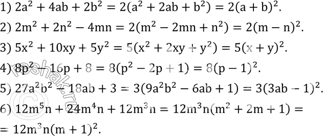
Разложить на множители:
1) 2a^2+4ab+2b^2;
2) 2m^2+2n^2-4mn;
3) 5x^2+10xy+5y^2;
4) 8p^2-16p+8;
5) 27a^2 b^2-18ab+3;
6) 12m^5 n+24m^4 n+12m^3 n.
