Упражнение 413 ГДЗ Колягин Ткачёва 7 класс (Алгебра)
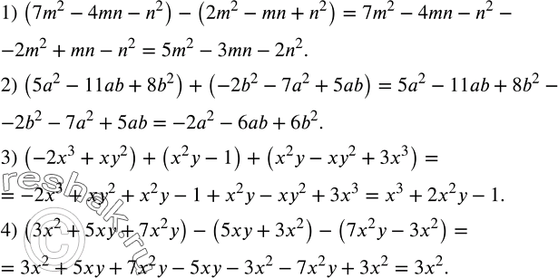
Упростить алгебраическую сумму многочленов: 1) (7m^2-4mn-n^2 )-(2m^2-mn+n^2 ); 2) (5a^2-11ab+8b^2 )+(-2b^2-7a^2+5ab); 3) (-2x^3+xy^2 )+(x^2 y-1)+(x^2 y-xy^2+3x^3 ); 4) (3x^2+5xy+7x^2 y)-(5xy+3x^2 )-(7x^2 y-3x^2 ).


Ниже вариант решения задания из учебника Колягин, Ткачёва, Фёдорова 7 класс, Просвещение:
Упростить алгебраическую сумму многочленов:
1) (7m^2-4mn-n^2 )-(2m^2-mn+n^2 );
2) (5a^2-11ab+8b^2 )+(-2b^2-7a^2+5ab);
3) (-2x^3+xy^2 )+(x^2 y-1)+(x^2 y-xy^2+3x^3 );
4) (3x^2+5xy+7x^2 y)-(5xy+3x^2 )-(7x^2 y-3x^2 ).
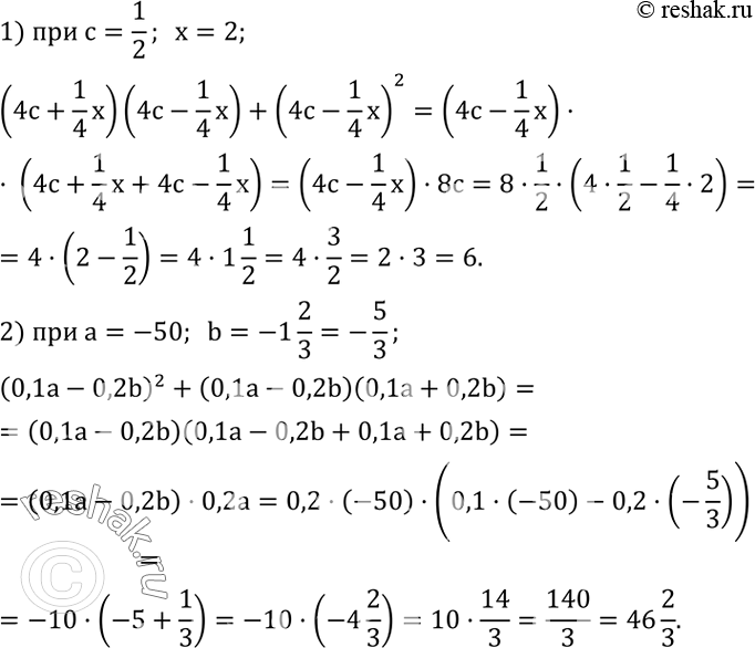
Упростить выражение и найти его числовое значение:
1) (4c+1/4 x)(4c-1/4 x)+(4c-1/4 x)^2 при c=1/2; x=2;
2) (0,1a-0,2b)^2+(0,1a-0,2b)(0,1a+0,2b) при a=-50; b=-1 2/3;
