Упражнение 412 ГДЗ Колягин Ткачёва 7 класс (Алгебра)
Упростить алгебраическую сумму многочленов: 1) (2 3/5 b-3/4 b^2 )+(1/4 b^2-1 3/5 b); 2) (0,1c-0,4c^2 )-(0,1c-0,5c^2 ); 3) (13x-11y+10z)-(-15x+10y-15z); 4) (17a+12b-14c)-(11a-10b-14c).


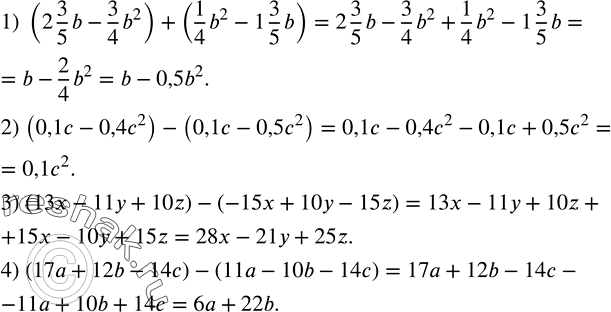
Ниже вариант решения задания из учебника Колягин, Ткачёва, Фёдорова 7 класс, Просвещение:
Упростить алгебраическую сумму многочленов:
1) (2 3/5 b-3/4 b^2 )+(1/4 b^2-1 3/5 b);
2) (0,1c-0,4c^2 )-(0,1c-0,5c^2 );
3) (13x-11y+10z)-(-15x+10y-15z);
4) (17a+12b-14c)-(11a-10b-14c).
Вычислить:
1) ?287?^2-287•48+239•713;
2) ?73,4?^2+73,4•17,2-90,6•63,4.
