Упражнение 416 ГДЗ Колягин Ткачёва 7 класс (Алгебра)
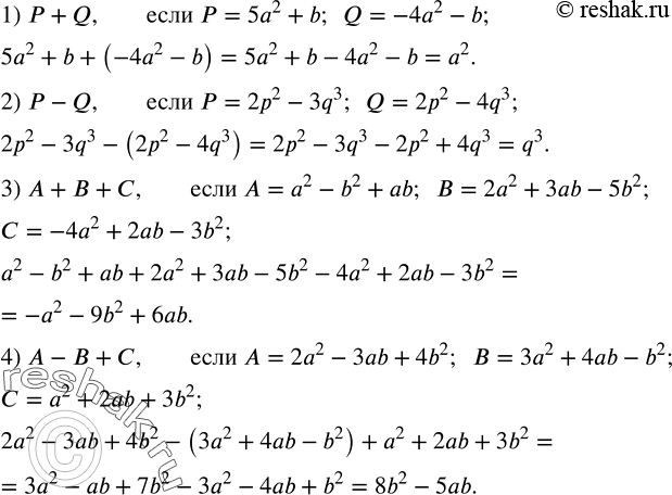
Упростить выражение: 1) P+Q,если P=5a^2+b; Q=-4a^2-b; 2) P-Q,если P=2p^2-3q^3; Q=2p^2-4q^3; 3) A+B+C,если A=a^2-b^2+ab; B=2a^2+3ab-5b^2; C=-4a^2+2ab-3b^2; 4) A-B+C,если A=2a^2-3ab+4b^2; B=3a^2+4ab-b^2; C=a^2+2ab+3b^2. Разложить на множители:


Ниже вариант решения задания из учебника Колягин, Ткачёва, Фёдорова 7 класс, Просвещение:
Упростить выражение:
1) P+Q,если P=5a^2+b; Q=-4a^2-b;
2) P-Q,если P=2p^2-3q^3; Q=2p^2-4q^3;
3) A+B+C,если A=a^2-b^2+ab; B=2a^2+3ab-5b^2; C=-4a^2+2ab-3b^2;
4) A-B+C,если A=2a^2-3ab+4b^2; B=3a^2+4ab-b^2; C=a^2+2ab+3b^2.
Разложить на множители:
1) (x^2-1)^2-(x^2+2)^2;
2) (5+x^2 )^2-(7+x^2 )^2;
3) (3x-1)^2-(5-2x)^2;
4) (7+5x)^2-(3x-2)^2.
