Вводные упражнения 22 ГДЗ Колягин Ткачёва 7 класс (Алгебра)
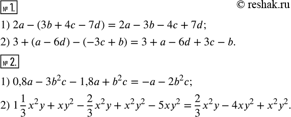
Раскрыть скобки: 1) 2a-(3b+4c-7d); 2) 3+(a-6b)-(-3c+b). 2. Привести подобные члены: 1) 0,8a-3b^2 c-1,8a+b^2 c; 2) 1 1/3 x^2 y+xy^2 -2/3 x^2 y+x^2 y^2 -5xy^2.

Ниже вариант решения задания из учебника Колягин, Ткачёва, Фёдорова 7 класс, Просвещение:
Раскрыть скобки:
1) 2a-(3b+4c-7d); 2) 3+(a-6b)-(-3c+b).
2. Привести подобные члены:
1) 0,8a-3b^2 c-1,8a+b^2 c; 2) 1 1/3 x^2 y+xy^2 -2/3 x^2 y+x^2 y^2 -5xy^2.
