Упражнение 415 ГДЗ Колягин Ткачёва 7 класс (Алгебра)
Найти «столбиком» разность многочленов: 1) 3a^2+8a-4 и 3+8a-5a^2; 2) b^3-3b^2+4b и b+2b^2+b^3. Разложить на множители многочлен: 1) mn-kn-m^2+2mk-k^2; 2) c^2-2c+1-d^2-2de-e^2. *Цитирирование задания со ссылкой на учебник производится исключительно в учебных целях для лучшего понимания разбора решения задания.


Ниже вариант решения задания из учебника Колягин, Ткачёва, Фёдорова 7 класс, Просвещение:
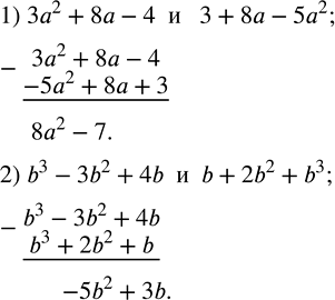
Найти «столбиком» разность многочленов:
1) 3a^2+8a-4 и 3+8a-5a^2;
2) b^3-3b^2+4b и b+2b^2+b^3.
Разложить на множители многочлен:
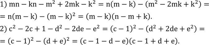
1) mn-kn-m^2+2mk-k^2;
2) c^2-2c+1-d^2-2de-e^2.
