Упражнение 414 ГДЗ Колягин Ткачёва 7 класс (Алгебра)
Найти сумму и разность многочленов: 1) 0,1x^2+0,02y^2 и 0,17x^2-0,08y^2; 2) 0,1x^2-0,02y^2 и -0,17x^2+0,08y^2; 3) a^3-0,12b^3 и 0,39a^3-b^3; 4) a^3+0,12b^3 и -0,39a^3+b^3.


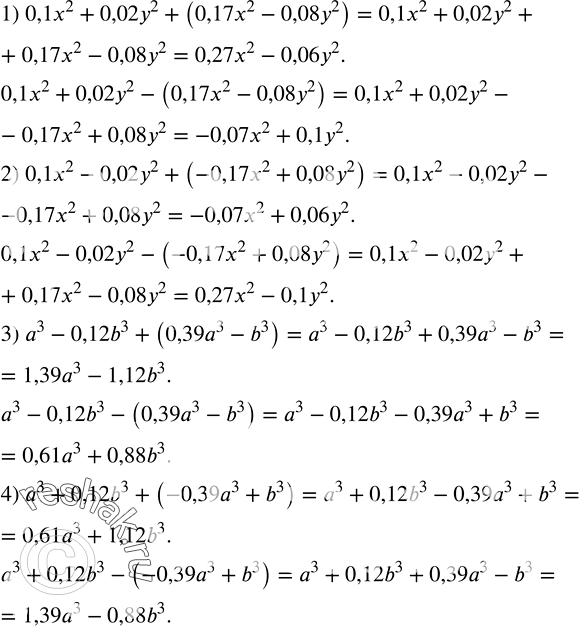
Ниже вариант решения задания из учебника Колягин, Ткачёва, Фёдорова 7 класс, Просвещение:
Найти сумму и разность многочленов:
1) 0,1x^2+0,02y^2 и 0,17x^2-0,08y^2;
2) 0,1x^2-0,02y^2 и -0,17x^2+0,08y^2;
3) a^3-0,12b^3 и 0,39a^3-b^3;
4) a^3+0,12b^3 и -0,39a^3+b^3.
Доказать, что при любых значениях x и y верно равенство:
1) (x+y)(x^2-y^2 )=(x-y) (x+y)^2;
2) (x-2y)(x+2y)(x^2+4y^2 )=x^4-16y^4.
