Упражнение 411 ГДЗ Колягин Ткачёва 7 класс (Алгебра)
Упростить алгебраическую сумму многочленов: 1) 8a+(-3b+5a); 2) 5x-(2x-3y); 3) (6a-2b)-(5a+3b); 4) (4x+2)+(-x-1). Разложить на множители: 1) 8ax+16ay-3bx-6by; 2) 14am-7an+8bm-4bn; 3) 9a^2+6a+1-4b^2;


Ниже вариант решения задания из учебника Колягин, Ткачёва, Фёдорова 7 класс, Просвещение:
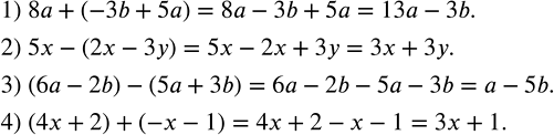
Упростить алгебраическую сумму многочленов:
1) 8a+(-3b+5a);
2) 5x-(2x-3y);
3) (6a-2b)-(5a+3b);
4) (4x+2)+(-x-1).
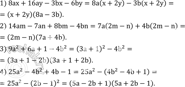
Разложить на множители:
1) 8ax+16ay-3bx-6by;
2) 14am-7an+8bm-4bn;
3) 9a^2+6a+1-4b^2;
4) 25a^2-4b^2+4b-1.
