Упражнение 437 ГДЗ Колягин Ткачёва 7 класс (Алгебра)
1) Показать, что при x=2 1/7 значение выражения (5x-1)(x+3)-(x-2)(5x-4) равно 49. 2) Показать, что при a=-3,5 значение выражения (a+3)(9a-8)-(2+a)(9a-1) равно -29.


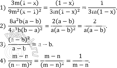
Ниже вариант решения задания из учебника Колягин, Ткачёва, Фёдорова 7 класс, Просвещение:
1) Показать, что при x=2 1/7 значение выражения (5x-1)(x+3)-(x-2)(5x-4) равно 49.
2) Показать, что при a=-3,5 значение выражения (a+3)(9a-8)-(2+a)(9a-1) равно -29.
Сократить дробь:
1) 3m(1-x)/(9m^2 (x-1)^2 );
2) (8a^2 b(a-b))/(4a^3 b(b-a)^2 );
3) (a-b)^2/(a-b);
4) (m-n)/(n-m)^2 .
