Упражнение 436 ГДЗ Колягин Ткачёва 7 класс (Алгебра)
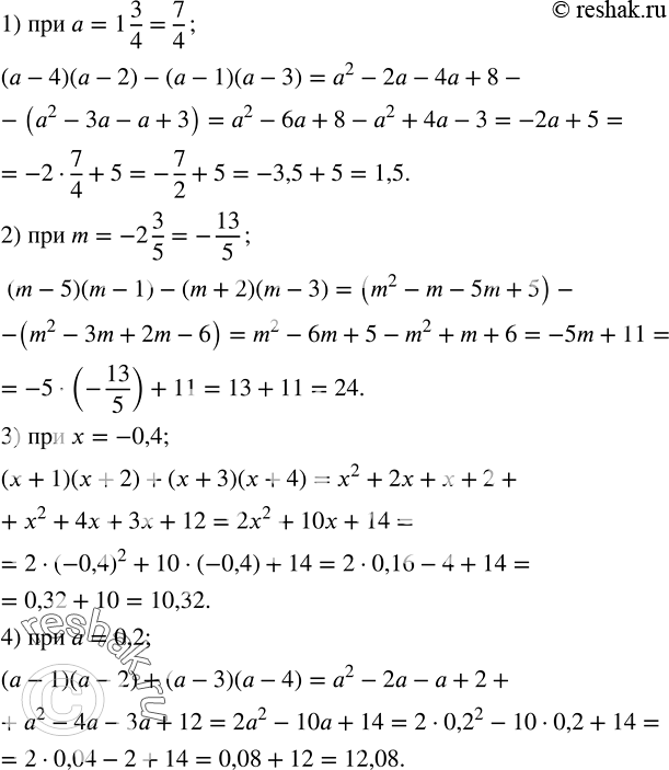
Найти значение алгебраического выражения, предварительно упростив его: 1) (a-4)(a-2)-(a-1)(a-3) при a=1 3/4; 2) (m-5)(m-1)-(m+2)(m-3) при m=-2 3/5; 3) (x+1)(x+2)+(x+3)(x+4) при x=-0,4;


Ниже вариант решения задания из учебника Колягин, Ткачёва, Фёдорова 7 класс, Просвещение:
Найти значение алгебраического выражения, предварительно упростив его:
1) (a-4)(a-2)-(a-1)(a-3) при a=1 3/4;
2) (m-5)(m-1)-(m+2)(m-3) при m=-2 3/5;
3) (x+1)(x+2)+(x+3)(x+4) при x=-0,4;
4) (a-1)(a-2)+(a-3)(a-4) при a=0,2.
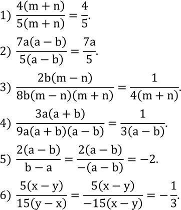
Сократить дробь:
1) 4(m+n)/5(m+n) ;
2) 7a(a-b)/5(a-b) ;
3) 2b(m-n)/8b(m-n)(m+n) ;
4) 3a(a+b)/9a(a+b)(a-b) ;
5) 2(a-b)/(b-a);
6) 5(x-y)/15(y-x) .
