Упражнение 491 ГДЗ Колягин Ткачёва 7 класс (Алгебра)
Вынести за скобки общий множитель: 1) 9a^2 b^2-12ab^3; 2) 20x^3 y^2+4x^2 y. Решить уравнение: 1) 3(x-11)/4=3(x+1)/5-2(2x-5)/11; 2) 2(5x+2)/9-1=4(33+2x)/5-5(1-11x)/9; 3) 8(x+10)/15-24 1/2=7x/10-2(11x-5)/5;


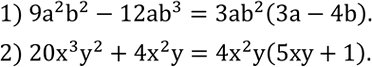
Ниже вариант решения задания из учебника Колягин, Ткачёва, Фёдорова 7 класс, Просвещение:
Вынести за скобки общий множитель:
1) 9a^2 b^2-12ab^3;
2) 20x^3 y^2+4x^2 y.
Решить уравнение:
1) 3(x-11)/4=3(x+1)/5-2(2x-5)/11;
2) 2(5x+2)/9-1=4(33+2x)/5-5(1-11x)/9;
3) 8(x+10)/15-24 1/2=7x/10-2(11x-5)/5;
4) 2(x-4)/3+(3x+13)/8=3(2x-3)/5-7.
