Упражнение 501 ГДЗ Колягин Ткачёва 7 класс (Алгебра)
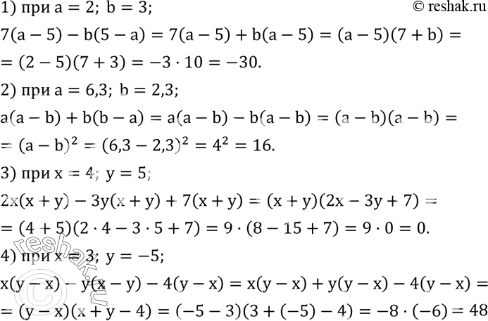
Найти значение выражения: 1) 7(a-5)-b(5-a) при a=2,b=3; 2) a(a-b)+b(b-a) при a=6,3,b=2,3; 3) 2x(x+y)-3y(x+y)+7(x+y) при x=4,y=5; 4) x(y-x)-y(x-y)-4(y-x) при x=3,y=-5. Выполнить действия:


Ниже вариант решения задания из учебника Колягин, Ткачёва, Фёдорова 7 класс, Просвещение:
Найти значение выражения:
1) 7(a-5)-b(5-a) при a=2,b=3;
2) a(a-b)+b(b-a) при a=6,3,b=2,3;
3) 2x(x+y)-3y(x+y)+7(x+y) при x=4,y=5;
4) x(y-x)-y(x-y)-4(y-x) при x=3,y=-5.
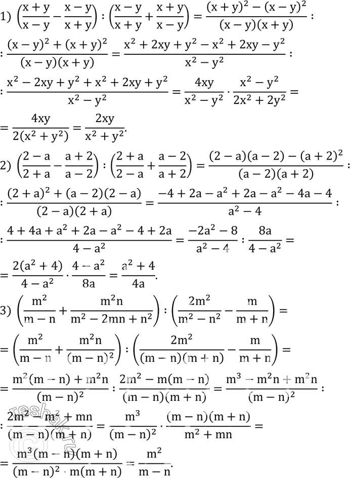
Выполнить действия:
1) ((x+y)/(x-y)-(x-y)/(x+y)) :((x-y)/(x+y)+(x+y)/(x-y));
2) ((2-a)/(2+a)-(a+2)/(a-2)) :((2+a)/(2-a)+(a-2)/(a+2));
3) (m^2/(m-n)+(m^2 n)/(m^2-2mn+n^2 )) :((2m^2)/(m^2-n^2 )-m/(m+n)).
