Упражнение 499 ГДЗ Колягин Ткачёва 7 класс (Алгебра)
Разложить на множители: 1) 7(y-3)-a(3-y); 2) 6(a-2)+a(2-a); 3) b^2 (a-1)-c(1-a); 4) a^2 (m-2)+b(2-m). Выполнить действия: 1) (a^2+ab)/(a^2+b^2 )•(a/(a-b)-a/(a+b)); 2) (ab-b^2)/(a^2+b^2 )•(a/(a+b)+b/(a-b));


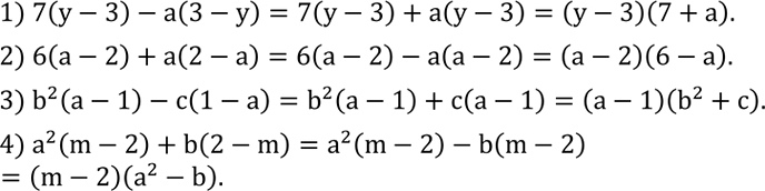
Ниже вариант решения задания из учебника Колягин, Ткачёва, Фёдорова 7 класс, Просвещение:
Разложить на множители:
1) 7(y-3)-a(3-y);
2) 6(a-2)+a(2-a);
3) b^2 (a-1)-c(1-a);
4) a^2 (m-2)+b(2-m).
Выполнить действия:
1) (a^2+ab)/(a^2+b^2 )•(a/(a-b)-a/(a+b));
2) (ab-b^2)/(a^2+b^2 )•(a/(a+b)+b/(a-b));
3) ((c+d)/c-2c/(c-d))•(d-c)/(c^2+d^2 );
4) (2c/(c+d)+(d-c)/c)•(c+d)/(c^2+d^2 ).
