Упражнение 498 ГДЗ Колягин Ткачёва 7 класс (Алгебра)
Разложить на множители: 1) c(a-b)+b(b-a); 2) a(b-c)-c(c-b); 3) (x-y)+b(y-x); 4) 2b(x-y)-(y-x). Выполнить действия: 1) (6/(a-b)-5/(a+b))•(a-b)/(a+11b); 2) (3/c+3/(c+d))•c/18(2c+d) ; 3) (y-1)/y :((y^2+1)/(y^2+2y)-2/(y+2));


Ниже вариант решения задания из учебника Колягин, Ткачёва, Фёдорова 7 класс, Просвещение:
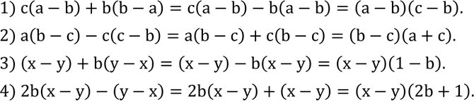
Разложить на множители:
1) c(a-b)+b(b-a);
2) a(b-c)-c(c-b);
3) (x-y)+b(y-x);
4) 2b(x-y)-(y-x).
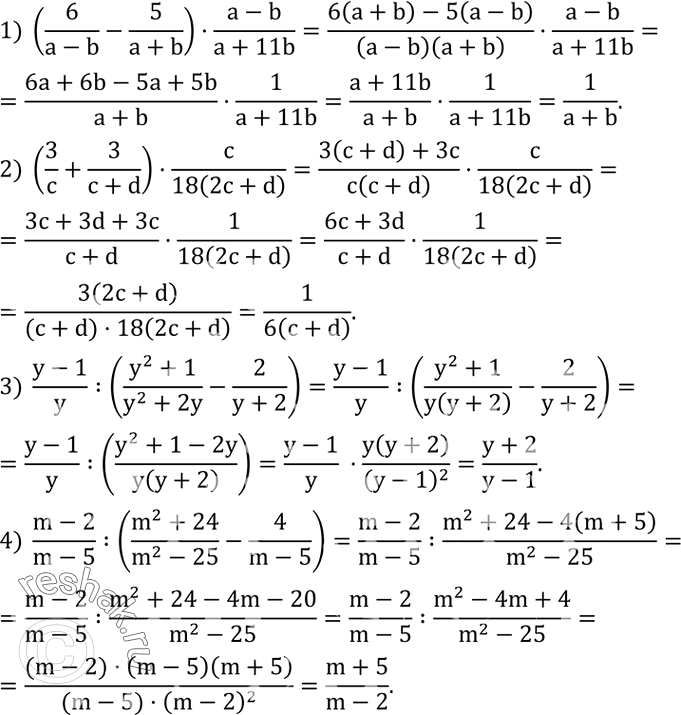
Выполнить действия:
1) (6/(a-b)-5/(a+b))•(a-b)/(a+11b);
2) (3/c+3/(c+d))•c/18(2c+d) ;
3) (y-1)/y :((y^2+1)/(y^2+2y)-2/(y+2));
4) (m-2)/(m-5) :((m^2+24)/(m^2-25)-4/(m-5)).
