Упражнение 500 ГДЗ Колягин Ткачёва 7 класс (Алгебра)
Разложить на множители: 1) a(b-c)+d(b-c)-7(c-b); 2) x(a-2)+y(2-a)+(2-a); 3) x(x-y)+y(y-x)-3(x-y); 4) a(b-3)+(3-b)-b(3-b). Выполнить действия: 1) (a^2+2a+1)/(b^2-4)•(b+2)/(a+1)-a/(b+2); 2) (a^2-2a+1)/(b-2) :(a^2-1)/(b^2-4)-(2a-b)/(a+1); 3) (m-1)/(m+1)-m(1-m^2 )/n•n/(m+1)^2 ;


Ниже вариант решения задания из учебника Колягин, Ткачёва, Фёдорова 7 класс, Просвещение:
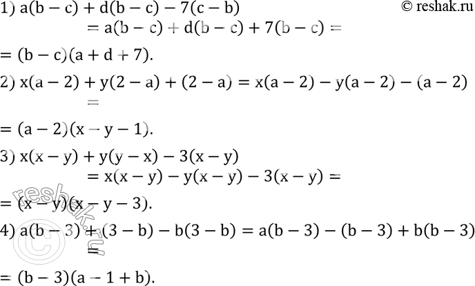
Разложить на множители:
1) a(b-c)+d(b-c)-7(c-b);
2) x(a-2)+y(2-a)+(2-a);
3) x(x-y)+y(y-x)-3(x-y);
4) a(b-3)+(3-b)-b(3-b).
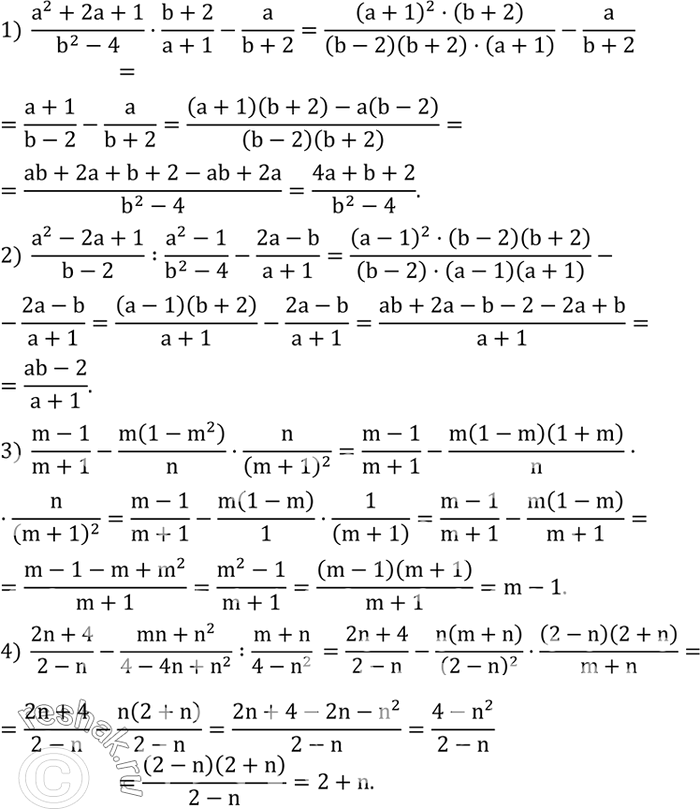
Выполнить действия:
1) (a^2+2a+1)/(b^2-4)•(b+2)/(a+1)-a/(b+2);
2) (a^2-2a+1)/(b-2) :(a^2-1)/(b^2-4)-(2a-b)/(a+1);
3) (m-1)/(m+1)-m(1-m^2 )/n•n/(m+1)^2 ;
4) (2n+4)/(2-n)-(mn+n^2)/(4-4n+n^2 ) :(m+n)/(4-n^2 ).
