Упражнение 503 ГДЗ Колягин Ткачёва 7 класс (Алгебра)
Разложить на множители: 1) x^2 (x-3)-x(x-3)^2; 2) a^3 (2+a)+a^2 (2+a)^2; 3) 3m(n-m)^2-9m^2 (m-n); 4) 15p^2 (p+q)-5p(p+q)^2. Выполнить действия: 1) ((c-d)/(c^2+dc)-c/(d^2+cd)) :(d^2/(c^3-cd^2 )+1/(c+d));


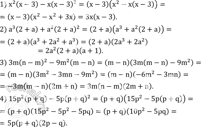
Ниже вариант решения задания из учебника Колягин, Ткачёва, Фёдорова 7 класс, Просвещение:
Разложить на множители:
1) x^2 (x-3)-x(x-3)^2;
2) a^3 (2+a)+a^2 (2+a)^2;
3) 3m(n-m)^2-9m^2 (m-n);
4) 15p^2 (p+q)-5p(p+q)^2.
Выполнить действия:
1) ((c-d)/(c^2+dc)-c/(d^2+cd)) :(d^2/(c^3-cd^2 )+1/(c+d));
2) (2n/(k+2n)-(4n^2)/(k^2+4nk+4n^2 )) :(2n/(k^2-4n^2 )+1/(2n-k));
3) (2q/(2q+m)-(4q^2)/(4q^2+4mq+m^2 )) :(2q/(4q^2-m^2 )+1/(m-2q)).
