Упражнение 496 ГДЗ Колягин Ткачёва 7 класс (Алгебра)
Разложить на множители: 1) 2a(a-b)+3b(a-b); 2) 3n(m-3)+5m(m-3); 3) 5a(x+y)-4b(x+y); 4) 7a(c-d)-2b(c-d). Выполнить действия: 1) (1+1/a) :(1-1/a); 2) (a+a/b)(a-a/b); *Цитирирование задания со ссылкой на учебник производится исключительно в учебных целях для лучшего понимания разбора решения задания.


Ниже вариант решения задания из учебника Колягин, Ткачёва, Фёдорова 7 класс, Просвещение:
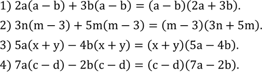
Разложить на множители:
1) 2a(a-b)+3b(a-b);
2) 3n(m-3)+5m(m-3);
3) 5a(x+y)-4b(x+y);
4) 7a(c-d)-2b(c-d).
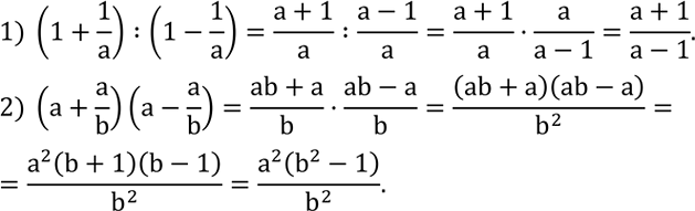
Выполнить действия:
1) (1+1/a) :(1-1/a);
2) (a+a/b)(a-a/b);
