Упражнение 521 ГДЗ Колягин Ткачёва 7 класс (Алгебра)
Разложить на множители: 1) 36x^2 y^2-1; 2) 81a^6-49b^4; 3) x^2 y^4-16; 4) 25a^2-9b^6. Выполнить действия: 1) (a+1)/(a^3-1)-1/(a^2+a+1); 2) (a^2+4)/(a^3+8)-1/(a+2); 3) (a+b)/(a^2-ab+b^2 )-1/(a+b);


Ниже вариант решения задания из учебника Колягин, Ткачёва, Фёдорова 7 класс, Просвещение:
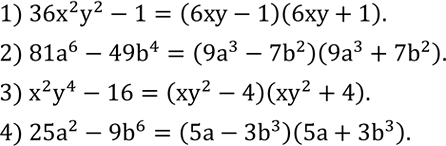
Разложить на множители:
1) 36x^2 y^2-1;
2) 81a^6-49b^4;
3) x^2 y^4-16;
4) 25a^2-9b^6.
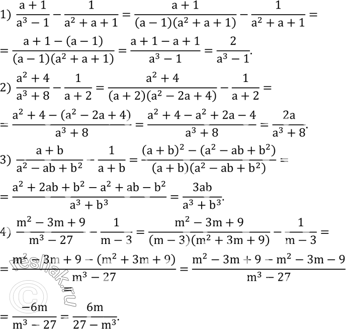
Выполнить действия:
1) (a+1)/(a^3-1)-1/(a^2+a+1);
2) (a^2+4)/(a^3+8)-1/(a+2);
3) (a+b)/(a^2-ab+b^2 )-1/(a+b);
4) (m^2-3m+9)/(m^3-27)-1/(m-3).
