Упражнение 522 ГДЗ Колягин Ткачёва 7 класс (Алгебра)
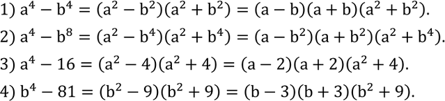
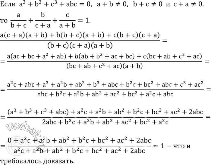
Разложить на множители: 1) a^4-b^4; 2) a^4-b^8; 3) a^4-16; 4) b^4-81. Доказать, что если a^3+b^3+c^3+abc=0, a+b?0, b+c?0 и c+a?0, то a/(b+c)+b/(c+a)+c/(a+b)=1.


Ниже вариант решения задания из учебника Колягин, Ткачёва, Фёдорова 7 класс, Просвещение:
Разложить на множители:
1) a^4-b^4;
2) a^4-b^8;
3) a^4-16;
4) b^4-81.
Доказать, что если a^3+b^3+c^3+abc=0, a+b?0, b+c?0 и c+a?0, то
a/(b+c)+b/(c+a)+c/(a+b)=1.
