Упражнение 629 ГДЗ Колягин Ткачёва 7 класс (Алгебра)
Построить график функции: 1) y=3x; 2) y=5x; 3) y=-4x; 4) y=-0,8x.Решить систему уравнений: 1) {(x/2+y/3=3 x/3+y/2=8/3)+ 2) {(5x/2+y/5=-4 x/3-y/6=1/6)+ 3) {(2x/3-5y/4=-3 5x/6+7y/8=6)+ *Цитирирование задания со ссылкой на учебник производится исключительно в учебных целях для лучшего понимания разбора решения задания.




Ниже вариант решения задания из учебника Колягин, Ткачёва, Фёдорова 7 класс, Просвещение:
Построить график функции:
1) y=3x; 2) y=5x; 3) y=-4x; 4) y=-0,8x.
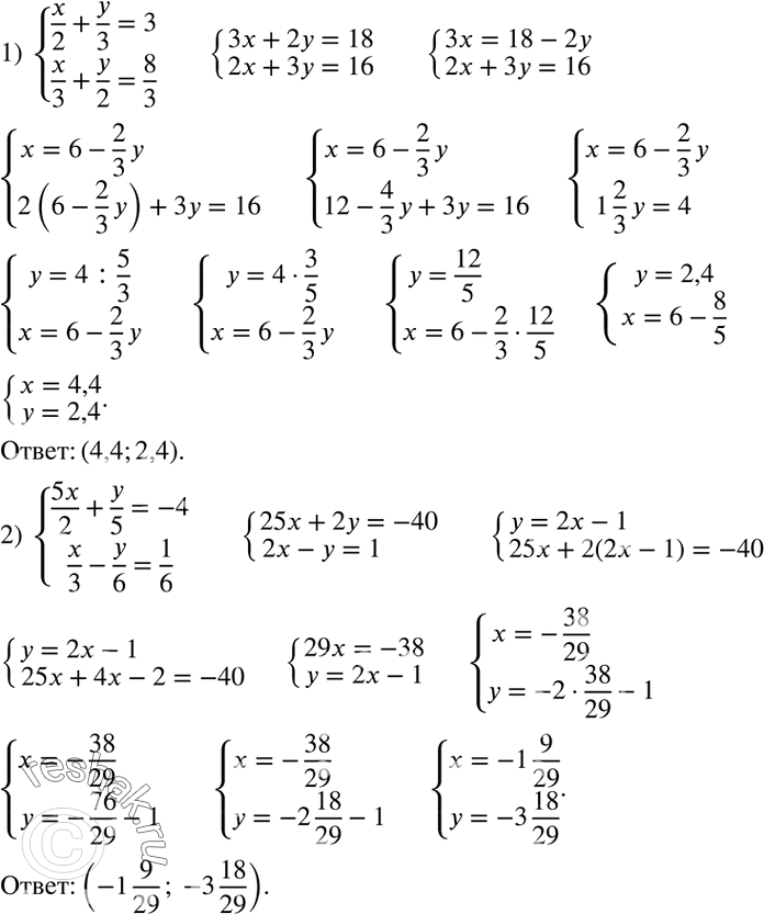
Решить систему уравнений:
1) {(x/2+y/3=3
x/3+y/2=8/3)+
2) {(5x/2+y/5=-4
x/3-y/6=1/6)+
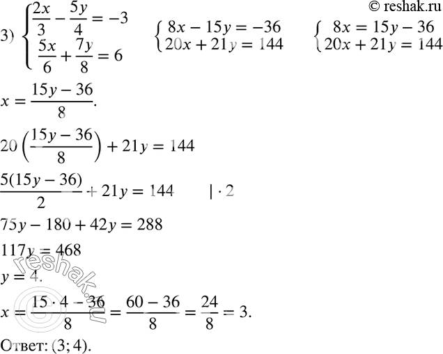
3) {(2x/3-5y/4=-3
5x/6+7y/8=6)+
