Упражнение 628 ГДЗ Колягин Ткачёва 7 класс (Алгебра)
Автомобиль «Волга» движется по шоссе со скоростью 80 км/ч. Записать формулу, выражающую зависимость длины пути s (в км) от времени движения t (в ч).



Ниже вариант решения задания из учебника Колягин, Ткачёва, Фёдорова 7 класс, Просвещение:
Автомобиль «Волга» движется по шоссе со скоростью 80 км/ч. Записать формулу, выражающую зависимость длины пути s (в км) от времени движения t (в ч). Чему равно s(3), s(5,4)?
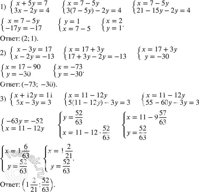
Решить систему уравнений:
1) {(x+5y=7
3x-2y=4)+
2) {(x-3y=17
x-2y=-13)+
3) {(x+12y=11
5x-3y=3)+
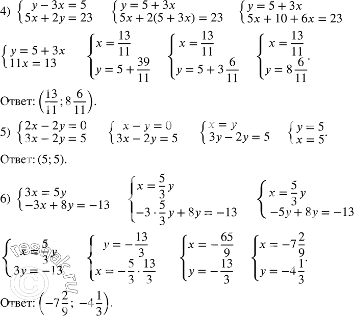
4) {(y-3x=5
5x+2y=23)+
5) {(2x-2y=0
3x-2y=5)+
6) {(3x=5y
-3x+8y=-13)+
