Упражнение 627 ГДЗ Колягин Ткачёва 7 класс (Алгебра)
Книга стоит 200 р. Выразить формулой зависимость между купленным числом n экземпляров этой книги и уплаченной суммой y, выраженной в рублях.


Ниже вариант решения задания из учебника Колягин, Ткачёва, Фёдорова 7 класс, Просвещение:
Книга стоит 200 р. Выразить формулой зависимость между купленным числом n экземпляров этой книги и уплаченной суммой y, выраженной в рублях. Чему равно y(6), y(11)?
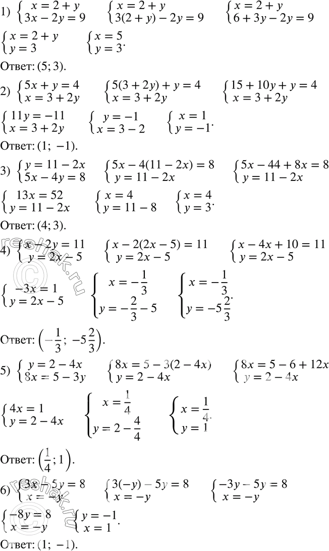
Решить систему уравнений:
1) {(x=2+y
3x-2y=9)+
2) {(5x+y=4
x=3+2y)+
3) {(y=11-2x
5x-4y=8)+
4) {(x-2y=11
y=2x-5)+
5) {(y=2-4x
8x=5-3y)+
6) {(3x-5y=8
x=-y )+
