Упражнение 631 ГДЗ Колягин Ткачёва 7 класс (Алгебра)
Построить график функции: 1) y=2 1/2 x; 2) y=1/4 x; 3) y=0,6x.Решить систему уравнений: 1) {((x+y)/2-(x-y)/3=8 (x+y)/3+(x-y)/4=11)+ 2) {((x+y)/9-(x-y)/3=2 (2x-y)/6-(3x+2y)/3=-20)+ 3) {((7x-2y)/2+2x=6 (5y-8x)/3-y=-2)+ 4) {(1/2 (2x-y)-1=y-2 1/4 (3x-7)=1/5 (2y-3)+1)+ *Цитирирование задания со ссылкой на учебник производится исключительно в учебных целях для лучшего понимания разбора решения задания.




Ниже вариант решения задания из учебника Колягин, Ткачёва, Фёдорова 7 класс, Просвещение:
Построить график функции:
1) y=2 1/2 x; 2) y=1/4 x; 3) y=0,6x.
Решить систему уравнений:
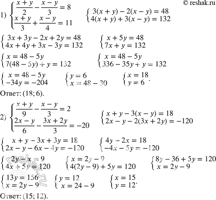
1) {((x+y)/2-(x-y)/3=8
(x+y)/3+(x-y)/4=11)+
2) {((x+y)/9-(x-y)/3=2
(2x-y)/6-(3x+2y)/3=-20)+
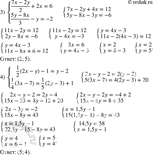
3) {((7x-2y)/2+2x=6
(5y-8x)/3-y=-2)+
4) {(1/2 (2x-y)-1=y-2
1/4 (3x-7)=1/5 (2y-3)+1)+
