Упражнение 630 ГДЗ Колягин Ткачёва 7 класс (Алгебра)
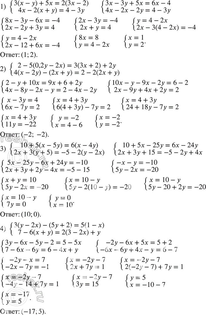
Построить график функции: 1) y=1,5x; 2) y=-2,5x; 3) y=-0,2x.Решить систему уравнений: 1) {(3(x-y)+5x=2(3x-2) 4x-2(x+y)=4-3y)+ 2) {(2-5(0,2y-2x)=3(3x+2)+2y 4(x-2y)-(2x+y)=2-2(2x+y))+ 3) {(10+5(x-5y)=6(x-4y) 2x+3(y+5)=-5-2(y-2x))+ 4) {(3(y-2x)-(5y+2)=5(1-x) 7-6(x+y)=2(3-2x)+y)+ *Цитирирование задания со ссылкой на учебник производится исключительно в учебных целях для лучшего понимания разбора решения задания.



Ниже вариант решения задания из учебника Колягин, Ткачёва, Фёдорова 7 класс, Просвещение:
Построить график функции:
1) y=1,5x; 2) y=-2,5x; 3) y=-0,2x.
Решить систему уравнений:
1) {(3(x-y)+5x=2(3x-2)
4x-2(x+y)=4-3y)+
2) {(2-5(0,2y-2x)=3(3x+2)+2y
4(x-2y)-(2x+y)=2-2(2x+y))+
3) {(10+5(x-5y)=6(x-4y)
2x+3(y+5)=-5-2(y-2x))+
4) {(3(y-2x)-(5y+2)=5(1-x)
7-6(x+y)=2(3-2x)+y)+
