Упражнение 632 ГДЗ Колягин Ткачёва 7 класс (Алгебра)
Построить график функции, заданной формулой y=-1,5x. Найти по графику: 1) значение y, соответствующее значению x, равному 1; 0; 2; 3; 2) значение x, если значение y равно -3;




Ниже вариант решения задания из учебника Колягин, Ткачёва, Фёдорова 7 класс, Просвещение:
Построить график функции, заданной формулой y=-1,5x. Найти по графику:
1) значение y, соответствующее значению x, равному 1; 0; 2; 3;
2) значение x, если значение y равно -3; 4,5; 6;
3) несколько целых значений x, при которых значения y положительны (отрицательны).
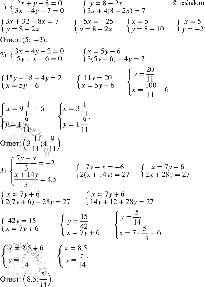
Решить систему уравнений:
1) {(2x+y-8=0
3x+4y-7=0)+
2) {(3x-4y-2=0
5y-x-6=0)+
3) {((7y-x)/3=-2
(x+14y)/3=4,5)+
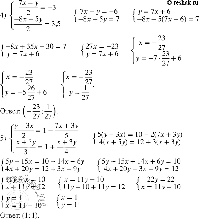
4) {((7x-y)/2=-3
(-8x+5y)/2=3,5)+
5) {((y-3x)/2=1-(7x+3y)/5
(x+5y)/3=1+(x+3y)/4)+
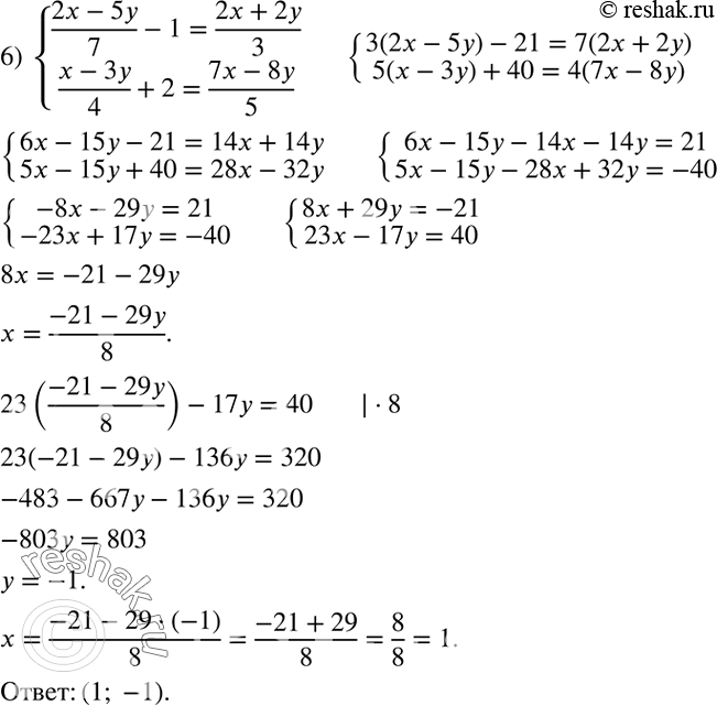
6) {((2x-5y)/7-1=(2x+2y)/3
(x-3y)/4+2=(7x-8y)/5)+
