Упражнение 633 ГДЗ Колягин Ткачёва 7 класс (Алгебра)
Построить график функции, заданной формулой y=0,2x. Найти по графику: 1) значение y соответствующее значению x, равному -5; 0; 5; 2) значение x, если значение функции равно -2;


Ниже вариант решения задания из учебника Колягин, Ткачёва, Фёдорова 7 класс, Просвещение:
Построить график функции, заданной формулой y=0,2x. Найти по графику:
1) значение y соответствующее значению x, равному -5; 0; 5;
2) значение x, если значение функции равно -2; 0; 2;
3) несколько значений x, при которых значения y отрицательны (положительны).
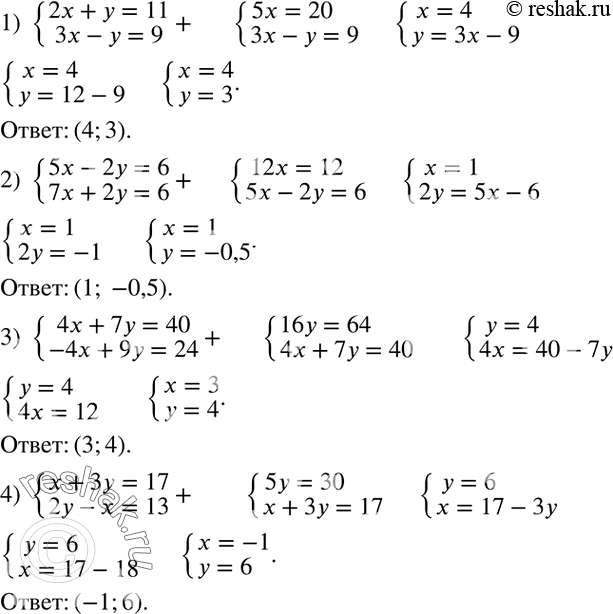
Способом алгебраического сложения решить систему уравнений:
1) {(2x+y=11
3x-y=9)+
2) {(5x-2y=6
7x+2y=6)+
3) {(4x+7y=40
-4x+9y=24)+
4) {(x+3y=17
2y-x=13)+
