Упражнение 635 ГДЗ Колягин Ткачёва 7 класс (Алгебра)
Какие из точек A (5;-3), B (-2;4), C (0;0), D (2;1), E (-5;2,5) принадлежит графику функции, заданной формулой y=1/2 x?Способом алгебраического сложения решить систему уравнений:


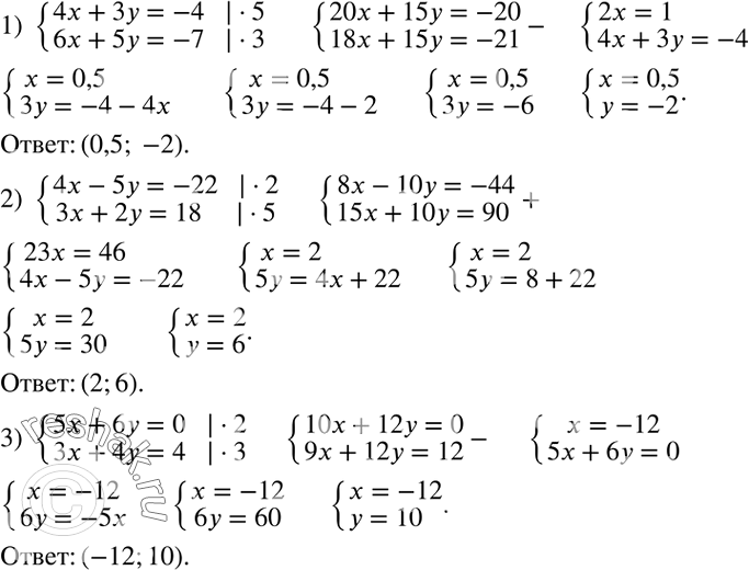
Ниже вариант решения задания из учебника Колягин, Ткачёва, Фёдорова 7 класс, Просвещение:
Какие из точек A (5;-3), B (-2;4), C (0;0), D (2;1), E (-5;2,5) принадлежит графику функции, заданной формулой y=1/2 x?
Способом алгебраического сложения решить систему уравнений:
1) {(4x+3y=-4
6x+5y=-7)+
2) {(4x-5y=-22
3x+2y=18)+
3) {(5x+6y=0
3x+4y=4)+
