Упражнение 636 ГДЗ Колягин Ткачёва 7 класс (Алгебра)
Прямая пропорциональная зависимость площади S прямоугольника от его ширины x представлена таблицей. Устно найти по таблице коэффициент пропорциональности k и заполнить таблицу.


Ниже вариант решения задания из учебника Колягин, Ткачёва, Фёдорова 7 класс, Просвещение:
Прямая пропорциональная зависимость площади S прямоугольника от его ширины x представлена таблицей.
Устно найти по таблице коэффициент пропорциональности k и заполнить таблицу.
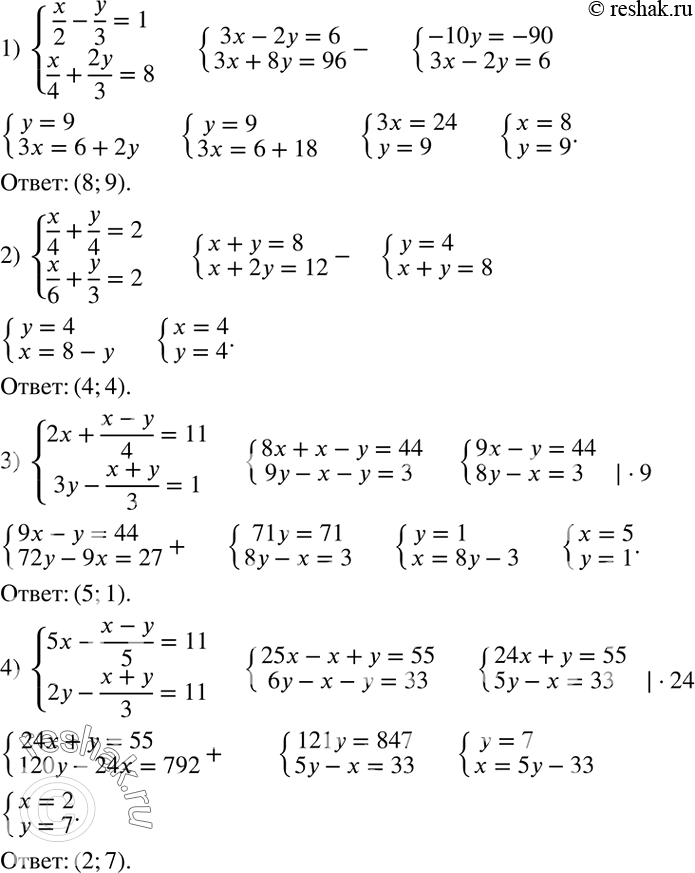
Способом алгебраического сложения решить систему уравнений:
1) {(x/2-y/3=1
x/4+2y/3=8)+
2) {(x/4+y/4=2
x/6+y/3=2)+
3) {(2x+(x-y)/4=11
3y-(x+y)/3=1)+
4) {(5x-(x-y)/5=11
2y-(x+y)/3=11)+
