Упражнение 763 ГДЗ Колягин Ткачёва 7 класс (Алгебра)
Решить уравнение: 1) (2x+1)/3=6; 2) (x-7)/2=1/4; 3) x/3-1/2=x/2; 4) 4/3 x-1=x/9+1/6. Выполнить действия: 1) (x^2-y^2)/6xy•(12x^2 y)/(x+y); 2) (8ab-8b^2)/(a^2+ab)•(a^3-ab^2)/(4b^3 ); 3) (a^2+4a)/(a^2-16) :(4a+16)/(a^2-4a);


Ниже вариант решения задания из учебника Колягин, Ткачёва, Фёдорова 7 класс, Просвещение:
Решить уравнение:
1) (2x+1)/3=6;
2) (x-7)/2=1/4;
3) x/3-1/2=x/2;
4) 4/3 x-1=x/9+1/6.
Выполнить действия:
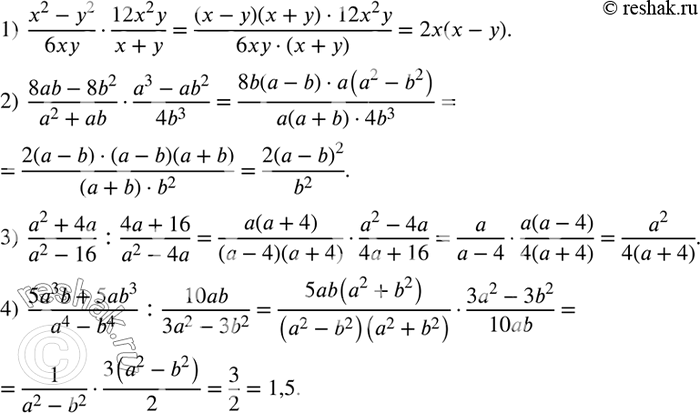
1) (x^2-y^2)/6xy•(12x^2 y)/(x+y);
2) (8ab-8b^2)/(a^2+ab)•(a^3-ab^2)/(4b^3 );
3) (a^2+4a)/(a^2-16) :(4a+16)/(a^2-4a);
4) (5a^3 b+5ab^3)/(a^4-b^4 ) :10ab/(3a^2-3b^2 ).
