Упражнение 764 ГДЗ Колягин Ткачёва 7 класс (Алгебра)
Решить уравнение: 1) 7-x/2=3+7x/2; 2) 9-2x/3=7+x/3; 3) (x+3)/2=x-4; 4) 2-3x=(x-12)/2. Выполнить действия: 1) (a^3+2a^2)/(a^2-1)•((a+1)^3 (a-1))/(a^2 (a+2) ); 2) (1-81b^2)/(a^2 b^2-4)•(ab+2)/(1-9b); 3) (a^2+ab)^2/(a^2-b^2 ) :(a+b)^2/(ab-b^2 )^2 ;


Ниже вариант решения задания из учебника Колягин, Ткачёва, Фёдорова 7 класс, Просвещение:
Решить уравнение:
1) 7-x/2=3+7x/2;
2) 9-2x/3=7+x/3;
3) (x+3)/2=x-4;
4) 2-3x=(x-12)/2.
Выполнить действия:
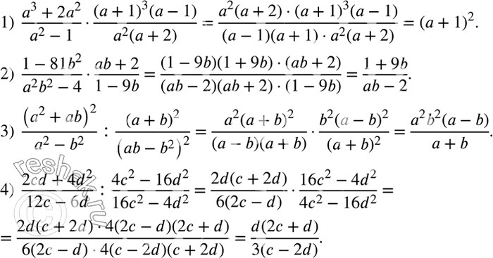
1) (a^3+2a^2)/(a^2-1)•((a+1)^3 (a-1))/(a^2 (a+2) );
2) (1-81b^2)/(a^2 b^2-4)•(ab+2)/(1-9b);
3) (a^2+ab)^2/(a^2-b^2 ) :(a+b)^2/(ab-b^2 )^2 ;
4) (2cd+4d^2)/(12c-6d) :(4c^2-16d^2)/(16c^2-4d^2 ).
