Упражнение 242 ГДЗ Колягин Ткачёва 7 класс (Алгебра)
Какое из чисел 3; -2 является корнем уравнения: 1) 3x=-6; 2) x+3=6; 3) 4x-4=x+5; 4) 5x+10=2x+4. Привести многочлен к стандартному виду и выяснить, при каких значениях x его значение равно 1:


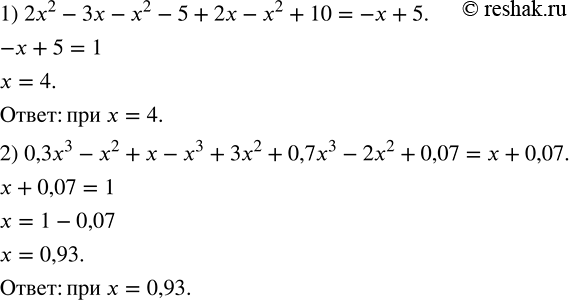
Ниже вариант решения задания из учебника Колягин, Ткачёва, Фёдорова 7 класс, Просвещение:
Какое из чисел 3; -2 является корнем уравнения:
1) 3x=-6;
2) x+3=6;
3) 4x-4=x+5;
4) 5x+10=2x+4.
Привести многочлен к стандартному виду и выяснить, при каких значениях x его значение равно 1:
1) 2x^2-3x-x^2-5+2x-x^2+10;
2) 0,3x^3-x^2+x-x^3+3x^2+0,7x^3-2x^2+0,07.
