Упражнение 10.14 ГДЗ Мордкович Семенов 9 класс (Алгебра)
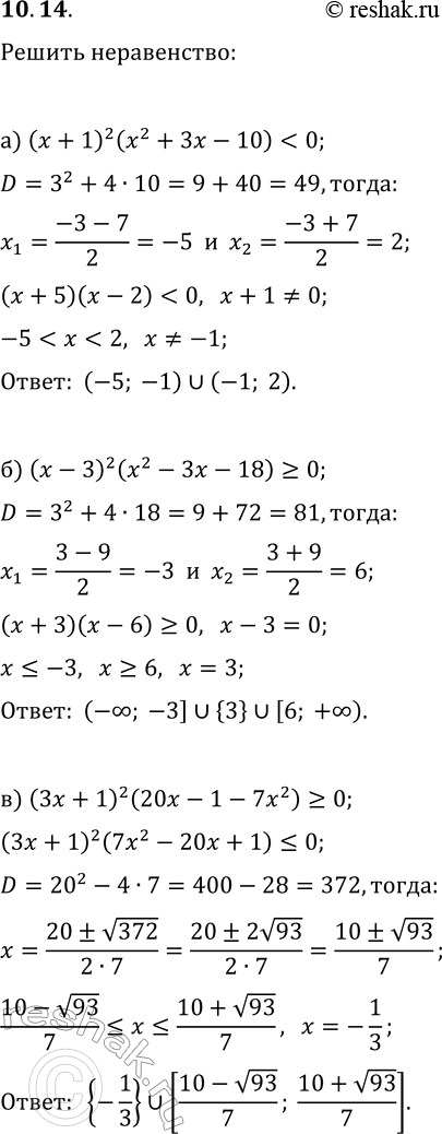
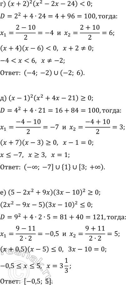
10.14. Решите неравенство: а) (x+1)^2(x^2+3x-10) б) (x-3)^2(x^2-3x-18)?0; в) (3x+1)^2(20x-1-7x^2)?0; г) (x+2)^2(x^2-2x-24) д) (x-1)^2(x^2+4x-21)?0; е) (5-2x^2+9x)(3x-10)^2?0. *Цитирирование задания со ссылкой на учебник производится исключительно в учебных целях для лучшего понимания разбора решения задания.
Ниже вариант решения задания из учебника Мордкович, Семенов, Александрова 9 класс, Бином:
10.14. Решите неравенство:
а) (x+1)^2(x^2+3x-10)
б) (x-3)^2(x^2-3x-18)?0;
в) (3x+1)^2(20x-1-7x^2)?0;
г) (x+2)^2(x^2-2x-24)
д) (x-1)^2(x^2+4x-21)?0;
е) (5-2x^2+9x)(3x-10)^2?0.


