Упражнение 10.12 ГДЗ Мордкович Семенов 9 класс (Алгебра)
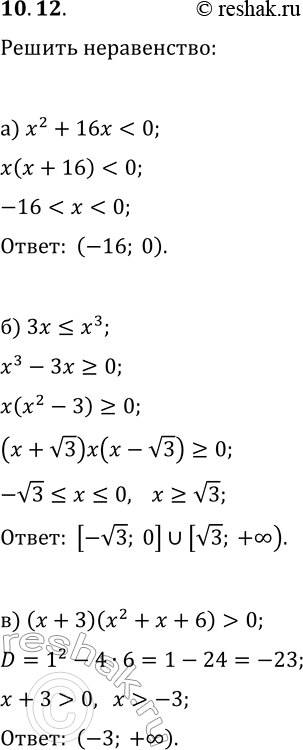
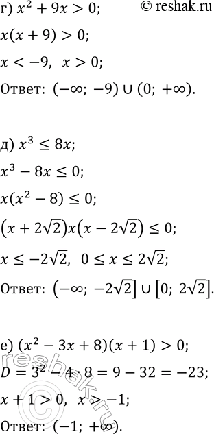
10.12. Решите неравенство: а) x^2+16x 0; б) 3x?x^3; д) x^3?8x; в) (x+3)(x^2+x+6) > 0; е) (x^2-3x+8)(x+1) > 0. *Цитирирование задания со ссылкой на учебник производится исключительно в учебных целях для лучшего понимания разбора решения задания.


Ниже вариант решения задания из учебника Мордкович, Семенов, Александрова 9 класс, Бином:
10.12. Решите неравенство:
а) x^2+16x 0;
б) 3x?x^3; д) x^3?8x;
в) (x+3)(x^2+x+6) > 0; е) (x^2-3x+8)(x+1) > 0.
