Упражнение 10.10 ГДЗ Мордкович Семенов 9 класс (Алгебра)
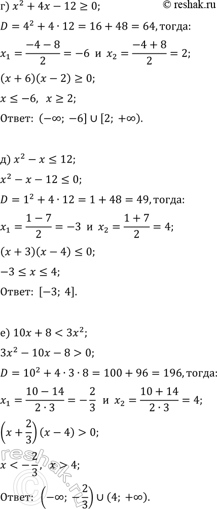
10.10. Решите неравенство: а) x^2-2x-15 б) 6x-5?x^2; д) x^2-x?12; в) 2x^2+9x-5 > 0; е) 10x+8 *Цитирирование задания со ссылкой на учебник производится исключительно в учебных целях для лучшего понимания разбора решения задания.
Ниже вариант решения задания из учебника Мордкович, Семенов, Александрова 9 класс, Бином:
10.10. Решите неравенство:
а) x^2-2x-15
б) 6x-5?x^2; д) x^2-x?12;
в) 2x^2+9x-5 > 0; е) 10x+8


