Упражнение 10.16 ГДЗ Мордкович Семенов 9 класс (Алгебра)
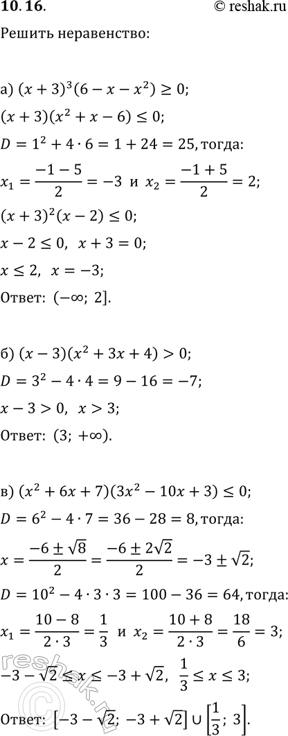
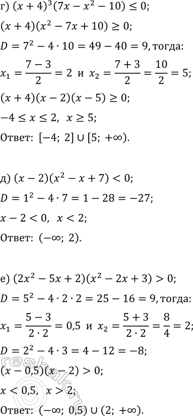
10.16. Решите неравенство: а) (x+3)^3(6-x-x^2)?0; б) (x-3)(x^2+3x+4) > 0; в) (x^2+6x+7)(3x^2-10x+3)?0; г) (x+4)^3(7x-x^2-10)?0; д) (x-2)(x^2-x+7) е) (2x^2-5x+2)(x^2-2x+3) > 0. *Цитирирование задания со ссылкой на учебник производится исключительно в учебных целях для лучшего понимания разбора решения задания.


Ниже вариант решения задания из учебника Мордкович, Семенов, Александрова 9 класс, Бином:
10.16. Решите неравенство:
а) (x+3)^3(6-x-x^2)?0;
б) (x-3)(x^2+3x+4) > 0;
в) (x^2+6x+7)(3x^2-10x+3)?0;
г) (x+4)^3(7x-x^2-10)?0;
д) (x-2)(x^2-x+7)
е) (2x^2-5x+2)(x^2-2x+3) > 0.
