Упражнение 10.15 ГДЗ Мордкович Семенов 9 класс (Алгебра)
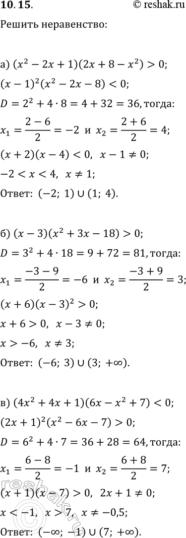
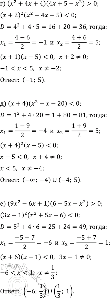
10.15. Решите неравенство: а) (x^2-2x+1)(2x+8-x^2) > 0; б) (x-3)(x^2+3x-18) > 0; в) (4x^2+4x+1)(6x-x^2+7) г) (x^2+4x+4)(4x+5-x^2) > 0; д) (x+4)(x^2-x-20) е) (9x^2-6x+1)(6-5x-x^2) >
Ниже вариант решения задания из учебника Мордкович, Семенов, Александрова 9 класс, Бином:
10.15. Решите неравенство:
а) (x^2-2x+1)(2x+8-x^2) > 0;
б) (x-3)(x^2+3x-18) > 0;
в) (4x^2+4x+1)(6x-x^2+7)
г) (x^2+4x+4)(4x+5-x^2) > 0;
д) (x+4)(x^2-x-20)
е) (9x^2-6x+1)(6-5x-x^2) > 0.


