Упражнение 10.11 ГДЗ Мордкович Семенов 9 класс (Алгебра)
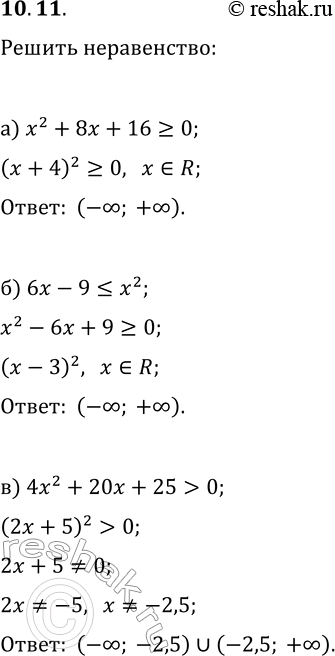
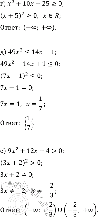
10.11. Решите неравенство: а) x^2+8x+16?0; г) x^2+10x+25?0; б) 6x-9?x^2; д) 49x^2?14x-1; в) 4x^2+20x+25 > 0; е) 9x^2+12x+4 > 0. *Цитирирование задания со ссылкой на учебник производится исключительно в учебных целях для лучшего понимания разбора решения задания.


Ниже вариант решения задания из учебника Мордкович, Семенов, Александрова 9 класс, Бином:
10.11. Решите неравенство:
а) x^2+8x+16?0; г) x^2+10x+25?0;
б) 6x-9?x^2; д) 49x^2?14x-1;
в) 4x^2+20x+25 > 0; е) 9x^2+12x+4 > 0.
