Упражнение 10.13 ГДЗ Мордкович Семенов 9 класс (Алгебра)
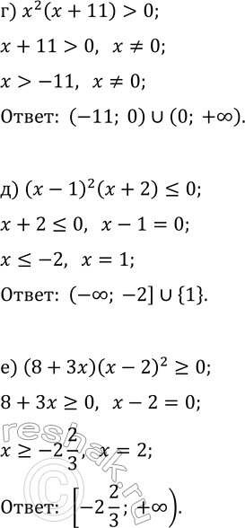
10.13. Решите неравенство: а) x^2(x-12) 0; б) (x+4)^2(2x-1)?0; д) (x-1)^2(x+2)?0; в) (x+3)^2(4-3x)?0; е) (8+3x)(x-2)^2?0. *Цитирирование задания со ссылкой на учебник производится исключительно в учебных целях для лучшего понимания разбора решения задания.


Ниже вариант решения задания из учебника Мордкович, Семенов, Александрова 9 класс, Бином:
10.13. Решите неравенство:
а) x^2(x-12) 0;
б) (x+4)^2(2x-1)?0; д) (x-1)^2(x+2)?0;
в) (x+3)^2(4-3x)?0; е) (8+3x)(x-2)^2?0.
