Упражнение 11.1 ГДЗ Мордкович Семенов 9 класс (Алгебра)
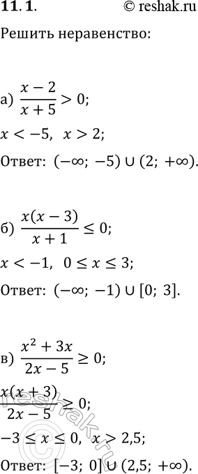
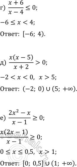
11.1. Решите неравенство: а) (x-2)/(x+5) > 0; г) (x+6)/(x-4)?0; б) x(x-3)/(x+1)?0; д) x(x-5)/(x+2) > 0; в) (x^2+3x)/(2x-5)?0; е) (2x^2-x)/(x-1)?0. *Цитирирование задания со ссылкой на учебник производится исключительно в учебных целях для лучшего понимания разбора решения задания.


Ниже вариант решения задания из учебника Мордкович, Семенов, Александрова 9 класс, Бином:
11.1. Решите неравенство:
а) (x-2)/(x+5) > 0; г) (x+6)/(x-4)?0;
б) x(x-3)/(x+1)?0; д) x(x-5)/(x+2) > 0;
в) (x^2+3x)/(2x-5)?0; е) (2x^2-x)/(x-1)?0.
