Упражнение 11.6 ГДЗ Мордкович Семенов 9 класс (Алгебра)
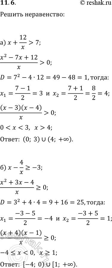
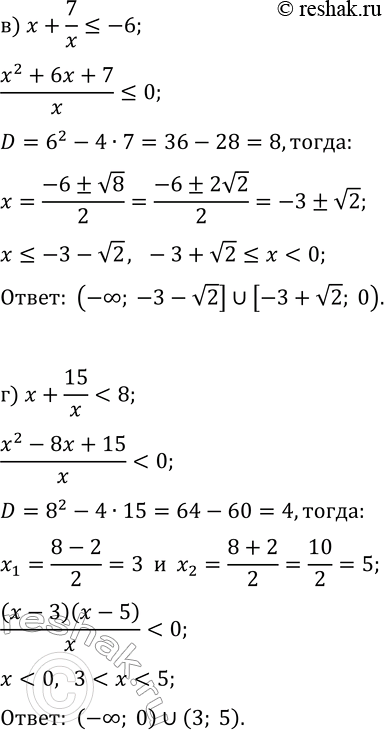
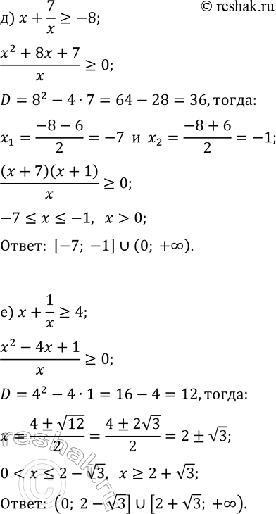
11.6. Решите неравенство: а) x+12/x > 7; г) x+15/x б) x-4/x?-3; д) x+7/x?-8; в) x+7/x?-6; е) x+1/x?4. *Цитирирование задания со ссылкой на учебник производится исключительно в учебных целях для лучшего понимания разбора решения задания.



Ниже вариант решения задания из учебника Мордкович, Семенов, Александрова 9 класс, Бином:
11.6. Решите неравенство:
а) x+12/x > 7; г) x+15/x
б) x-4/x?-3; д) x+7/x?-8;
в) x+7/x?-6; е) x+1/x?4.
